دیوید اعتباری - کیهان لندن
اعتراضات سراسری زمستان ۱۴۰۴ از لحاظ سرعت گسترش و حجم مشارکت، کمسابقهترین موج اعتراضی پس از جنبش سبز بود. خیابان در زمانی کوتاه پر شد، همزمانی ملی شکل گرفت و تصور «اکثریت بودن» در میان معترضان تقویت گردید. این شتاب، بدون یک فراخوان اولیهی کلیدی ممکن نبود؛ فراخوانی که نقش تعیینکنندهای در ایجاد همزمانی و شکستن پراکندگی زمانی اعتراضات ایفا کرد. پس از آن، فراخوانها و پیامهای بعدی در نقش تکمیلی و تثبیتکننده ظاهر شدند، نه بهعنوان عامل خلق موجی تازه، بلکه در ادامهی مسیری که از پیش گشوده شده بود.
در چنین وضعیتی، سرعت میتواند پیش از آنکه حکومت فرصت تطبیق و سازماندهی واکنش خود را پیدا کند، تعادل قوا را بر هم بزند. اما همین شتاب اجتماعی پرسشی بنیادین را پیش میکشد: آیا «سریع و پرحجم بودن» بهخودیِ خود قدرت میآفریند؟ پاسخ منفی است. سرعت و حجم تنها زمانی به مزیت تعیینکننده تبدیل میشوند که هدف روشن، مراحل تعریفشده و خروجی قابل سنجش وجود داشته باشد. اگر پیام صرفاً «حضور» در خیابان باشد، نیرویی که منسجمتر، متمرکزتر و فرمانپذیرتر است - یعنی حاکمیت - سریعتر به وضعیت سرکوب حداکثری میرسد. در هر رویارویی نامتقارن، نیروی سازمانیافته، حتی اگر محدود باشد، بر جمعیتِ فاقد سازمان غلبه میکند.
در تقابل میان جامعه و جمهوری اسلامی، با چنین عدمتوازنی روبهرو بودیم. بخش امنیتی رژیم نهادی منسجم، سلسلهمراتبی و آماده خشونت است؛ نهادی که نه فقط برای آغاز سرکوب، بلکه برای «پایان دادن» به بحران سناریو دارد. در مقابل، جامعهی معترض اگرچه از نظر عددی گسترده بود، اما فاقد برنامهای روشن برای تبدیل حضور خیابانی به خروجی سیاسی یا نهادی مشخص باقی ماند. مسئله در چنین شرایطی نه آغاز اعتراض، بلکه تعریف مسیر پایان آن است.
در جنگ، مهم نیست چه کسی شروع میکند؛ مهم آن است که چه کسی آمادگی پایان دادن به نفع خود را دارد. اعتراضات ۱۴۰۴ آغاز شد، اما روش رسیدن به «پایان» از پیش تعریف نشده بود. نه روشن بود کدام نهاد باید متوقف شود، نه کدام گلوگاه باید فلج گردد، و نه چه هزینهای باید برای حکومت غیرقابل تحمل شود. در غیاب پاسخ به این پرسشها، حتی بزرگترین موج اجتماعی نیز بیش از آنکه اعمال قدرت باشد، به نمایش قدرت تبدیل میشود. آتش زدن چند بانک یا حتی تسخیر چند کلانتری، بهتنهایی تغییری تعیینکننده ایجاد نمیکند.
اعتراضات مردمی، اگر با واقعیت میدان تطابق نداشته باشد، به میدان تمرین سرکوب بدل میشود؛ جایی که حاکمیت هزینهی خشونت را میسنجد، سرعت واکنش خود را تنظیم میکند و آستانهی تحمل جامعه را میآزماید. این وضعیت نه از ضعف مردم ناشی میشود و نه از کمبود شجاعت، بلکه حاصل عدم تطابق آرایش نیروها با ماهیت نبرد است. در برابر رژیمی توتالیتر و ایدئولوژیک که خود را در وضعیت «جنگ مرگ یا بقا» میبیند، نمیتوان به اعتراضات مدنیِ بی برنامه و سازوکار دل بست.
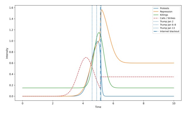
بازسازی دینامیک اعتراضات ۱۴۰۴ بر اساس نمودار زمانی، توالی رخدادها را شفاف میکند. فراخوان اولیه، پیش از پنجشنبهی حضور میلیونی، همزمانی ملی را ایجاد کرد و بستر پاسخ گستردهی خیابانی را شکل داد. حضور خیابانی با فاصلهای کوتاه اما معنادار به اوج رسید؛ اوجی که نه حاصل گسترش تدریجی و انباشت خودجوش، بلکه نتیجهی ترجمهی مستقیم آن فراخوان به حضور همزمان فیزیکی در خیابان بود
درست در همین نقطهی اوج، رژیم وارد فاز سرکوب حداکثری شد. کشتار و خشونت سازمانیافته نه پس از فروکش اعتراضات، بلکه همزمان با اوج آن آغاز شد و شدت گرفت. این همپوشانی زمانی نشان میدهد که سرکوب، واکنشی آگاهانه برای شکستن روند رشد اعتراضات بود.
نقطهی تعیینکنندهی دیگر، لحظهی قطع اینترنت و ارتباطات است. این اقدام صرفاً فنی یا امنیتی نبود، بلکه موازنهی میدان را تغییر داد. با قطع ارتباط، امکان هماهنگی لحظهای از جامعه گرفته شد، روایتسازی مختل گردید و رژیم توانست زمان و مکان اعمال خشونت را یکطرفه کنترل کند. پس از این نقطه، منحنی اعتراضات خیابانی نه بهتدریج، بلکه بهطور ناگهانی فرو ریخت. خیابان خاموش نشد؛ شکسته شد.
همزمان با این تحولات، واکنشهایی در سطح بینالمللی نیز دیده شد، از جمله پیامهای حمایتی لفظی دونالد ترامپ. با این حال، این مواضع نه در شکلگیری اعتراضات نقشی داشتند و نه در تغییر موازنهی میدان اثر عملی گذاشتند. نسبت دادن خیزش اجتماعی ایران به عامل خارجی، دانسته یا نادانسته، بازتولید همان گفتمان رژیم است که با حذف عاملیت جامعه، واقعیت میدان و منطق سرکوب را پنهان میکند.
در اینجا باید به یک واقعیت راهبردی اذعان کرد؛ واقعیتی که دستکم پس از جنبش مهسا میبایست نهادینه میشد: جامعهی ایران مدتهاست از فاز «اعتراض» عبور کرده و وارد ضرورت برنامهریزی برای فاز «مبارزه» شده است. مبارزه، برخلاف اعتراض، بر لحظه تکیه نمیکند؛ بلکه به برنامهریزی واقعبینانه و استراتژیک نیاز دارد. لحظهها یا باید ساخته شوند، یا باید برای وقوعشان آماده بود؛ و این آمادگی تنها با بازتعریف کنش جمعی از منطق اعتراض به منطق مبارزه ممکن است.
در این چارچوب، خیابان حذف نمیشود، بلکه جایگاهش تغییر میکند. خیابان محل آغاز نیست؛ محل جمعبندی نهایی است. تمرکز زودرس بر خیابان، پیش از شکلگیری فرسایش اقتصادی و اختلال ساختاری، هزینهی انسانی را بهطور چشمگیری بالا میبرد و ماشین سرکوب را فعال و کارآمد میکند. در چنین شرایطی، حکومت نه غافلگیر میشود و نه فرسوده، بلکه فرصت مییابد با خشونت متمرکز، ابتکار عمل را پس بگیرد. آسِ مردم میلیونی، اگرچه برگ برندهی تعیینکنندهای است، اما بازی کردن زودهنگام آن، تضمینی برای پیروزی نهایی نیست. مسئله نه در کمبود قدرت اجتماعی، بلکه در زمانبندی و آرایش درست استفاده از آن نهفته است.
خیابان در مرحلهی پایانی، با فراخوان نهایی میلیونی، نتیجه میدهد؛ نه برای آزمون قدرت، بلکه برای پایان دادن به کار و تثبیت فروپاشی. در اینجا خیابان نقش جمعبندی نهایی را ایفا میکند، نه میدان فرسایش اولیه.
این روشمندی، از جمله مفهوم «هفتهی همبستگی» بهعنوان نقطهی همزمانی اعتصابات و کنش اقتصادی تا رسیدن به نقطهی صفر فروپاشی و جایگزینی قدرت، در کتاب من با عنوان «فراتر از ایدئولوژی: نقشه راه فنسالارانه برای رسیدن به ایرانِ آزاد» بهتفصیل تشریح شده است.
برآیند روشن است: سرعت و حجم، قدرت بالقوه میآفرینند؛ اما تنها زمانی به قدرت بالفعل تبدیل میشوند که با برنامه و خروجی همراه باشند. اعتراضات ۱۴۰۴ نشان داد جامعه آمادهی خیزش است، اما آمادگیِ خیزش با آمادگیِ پیروزی یکی نیست. قدرت نه در جمعیت، بلکه در نسبت میان سازمان، زمانبندی میدان و تحمیل هزینه شکل میگیرد.
دیوید اعتباری نویسنده کتاب «فراتر از ایدئولوژی: نقشه راه فنسالارانه بهسوی ایرانی آزاد»، از بنیانگذاران سازمان Stop Child Executions و از نظریهپردازان گذار ساختارمند، دموکراتیک و فنسالار در ایران است.

بیدادگاه، محمد بینش
















